United States set
language
Menu Shopping cart $0 Search
Manufactured by BioVendor

Irisin ELISA

  • Regulatory status:RUO
  • Type:Competitive ELISA, Immobilized antigen
  • Other names:Fibronectin Type III Domain-containing Protein 5, Fibronectin Type III Repeat-containing Protein 2, FNDC5
  • Species:Human, Monkey, Mouse, Rat
United States orders are shipped from our US branch, BioVendor, LLC
Cat. No. Size Price


RAG018R 96 wells (1 kit) $682
PubMed Product Details
Technical Data

Type

Competitive ELISA, Immobilized antigen

Description

The Irisin ELISA Kit is to be used for the in vitro quantitative determination of irisin in serum, plasma and cell culture supernatant of human origin. It should also work for the in vitro quantitative determination of irisin in mouse, rat and monkey biological samples. This ELISA Kit is for research use only.

Applications

Serum, Plasma, Cell culture supernatant

Sample Requirements

50 ul/wells

Shipping

On blue ice packs. Upon receipt, store the product at the temperature recommended below.

Storage/Expiration

Store the complete kit at 2–8°C. Under these conditions, the kit is stable until the expiration date (see label on the box).

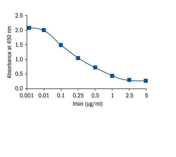
Calibration Curve

Calibration Range

0.001–5 μg/ml

Limit of Detection

1 ng/ml

Intra-assay (Within-Run)

CV = 6,9%

Inter-assay (Run-to-Run)

CV = 9.1%

Spiking Recovery

109%

Dilution Linearity

90-107%

Specificity

This ELISA is specific for the measurement of natural and recombinant irisin in human samples. It should also work in mouse, rat and monkey biological samples. It does not cross-react with FNDC4, human adiponectin, human Nampt, human RBP4, human clusterin, human leptin, human vaspin, human GPX3, human resistin, human ACE2, human lipocalin-2, human ANGPTL3, human ANGPTL6, human DNER, human DLK1, human calreticulin, human IL-33, mouse Nampt, mouse clusterin, mouse vaspin, mouse resistin.

Summary

Features

  • RUO
  • calibration range 0.001-5 ug/ml
  • limit of detection 1 ng/ml

Research topic

Energy metabolism and body weight regulation, Animal studies

Summary

Fibronectin type III domain containing (FNDC) family consists of the multiple protein species but has a typified fibronectin type III domain (1-2). Among them FNDC5 also called irisin, hereinafter named irisin, has been identified a myokine which is capable of inducing browning of white adipose tissue leading to brown adipocytes and beige fat cells by stimulating UCP1 expression, via the PGC-1α transcriptional co-activator (3). Irisin is a single-pass type I membrane protein whose secretion could be by a putative signal peptide. Since irisin has been discovered as a soluble protein from the culture supernatant of the myocytes from the muscle-specific PGC-1α transgenic mice the predicted extracellular domain should be cleaved followed by being liberated from the cell surface membrane. Indeed, this was the case by having shown that the presence of the irisin exists in the culture supernatants and human/mouse sera as a 22 kDa protein (3). Irisin is able to induce UCP1 as well as a number of genes manifested in brown adipose tissues. In particular, the level of irisin was increased by muscular exercise in mouse and human, suggesting that irisin plays an important role in obesity and glucose homeostasis.

Product References (8)

References

  • Tung YT, Chiang PC, Chen YL, Chien YW. Effects of Melatonin on Lipid Metabolism and Circulating Irisin in Sprague-Dawley Rats with Diet-Induced Obesity. Molecules. 2020 Jul 22;25(15):3329. doi: 10.3390/molecules25153329. PubMed PMID: 32708001. PubMed CentralPMCID: PMC7436261. See more on PubMed
  • Murawska-Cialowicz E, Wolanski P, Zuwala-Jagiello J, Feito Y, Petr M, Kokstejn J, Stastny P, Goliński D. Effect of HIIT with Tabata Protocol on Serum Irisin, Physical Performance, and Body Composition in Men. Int J Environ Res Public Health. 2020 May 20;17(10):3589. doi: 10.3390/ijerph17103589. PubMed PMID: 32443802. PubMed CentralPMCID: PMC7277607. See more on PubMed
  • Kim SJ, Yoon ES, Jung SY, Kim DY. Effect of uphill walking on browning factor and high molecular weight-adiponectin in postmenopausal women. J Exerc Rehabil. 2020 Jun 30;16(3):265-271. doi: 10.12965/jer.2040334.167. eCollection 2020 Jun. PubMed PMID: 32724784. PubMed CentralPMCID: PMC7365724. See more on PubMed
  • Żebrowska A, Sikora M, Konarska A, Zwierzchowska A, Kamiński T, Robins A, Hall B. Moderate intensity exercise in hypoxia increases IGF-1 bioavailability and serum irisin in individuals with type 1 diabetes. Ther Adv Endocrinol Metab. 2020 May 27;11:2042018820925326. doi: 10.1177/2042018820925326. eCollection 2020. PubMed PMID: 32523674. PubMed CentralPMCID: PMC7257872. See more on PubMed
  • Maïmoun L, Mura T, Attalin V, Dupuy AM, Cristol JP, Avignon A, Mariano-Goulart D, Sultan A. Modification of Muscle-Related Hormones in Women with Obesity: Potential Impact on Bone Metabolism. J Clin Med. 2020 Apr 17;9(4):1150. doi: 10.3390/jcm9041150. PubMed PMID: 32316563. PubMed CentralPMCID: PMC7230770. See more on PubMed
  • Sobieszek G, Powrózek T, Mazurek M, Skwarek-Dziekanowska A, Małecka-Massalska T. Electrical and Hormonal Biomarkers in Cachectic Elderly Women with Chronic Heart Failure. J Clin Med. 2020 Apr 4;9(4):1021. doi: 10.3390/jcm9041021. PubMed PMID: 32260434. PubMed CentralPMCID: PMC7230681. See more on PubMed
  • Rashti BA, Mehrabani J, Damirchi A, Babaei P. The influence of concurrent training intensity on serum irisin and abdominal fat in postmenopausal women. Prz Menopauzalny. 2019 Dec;18(3):166-173. doi: 10.5114/pm.2019.90810. Epub 2019 Dec 20. PubMed PMID: 31975984. PubMed CentralPMCID: PMC6970417. See more on PubMed
  • Choi KM, Hwang SY, Han K, Chung HS, Kim NH, Yoo HJ, Seo JA, Kim SG, Kim NH, Baik SH, Ebert T, Fasshauer M, Blüher M. Interleukin-15 and irisin serum concentrations are not related to cardiometabolic risk factors in patients with type 2 diabetes from Korea and Germany. Acta Diabetol. 2020 Mar;57(3):381-384. doi: 10.1007/s00592-019-01417-3. Epub 2019 Sep 10. PubMed PMID: 31506722. PubMed CentralPMCID: PMC7049542. See more on PubMed
Related Products Docs
Subscribe to Our Newsletter! Discover News from
BioVendor R&D
Subscribe Now
Subscribe to Our Newsletter! Discover News from
BioVendor R&D
Subscribe Now
zavřít